Задания для самоконтроля к лекции №2


Предыдущий тест
Следующий тест

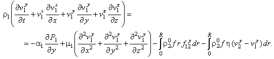
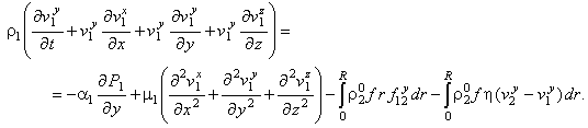
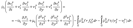
     2. Определить, какое из уравнений движения сплошной фазы в проекции на ось y записано правильно: