Решение трёхмерных дифференциальных уравнений параболического типа.
       2. Разностная сетка для трёхмерных задач.

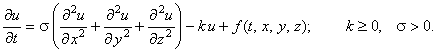
     Запишем трёхмерное дифференциальное уравнение параболического типа, не содержащее первых производных по координатам x, y и z, в следующем общем виде:
  (9.1)
Уравнение (9.1) должно быть дополнено начальным и двумя граничными условиями по каждой из пространственных координат (для определённости будем рассматривать граничные условия 1-го рода):
 

     Пусть для независимых переменных заданы следующие интервалы их изменения:
 
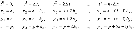
Разбивая каждый из этих интервалов на некоторое количество равных частей (по аналогии с тем, как это было сделано в случае двух независимых переменных), получим разностную сетку, которая в данном случае будет четырёхмерной. Введём следующие обозначения:
     n - порядковый номер точки деления по оси t;
     j - порядковый номер точки деления по оси x;
     k - порядковый номер точки деления по оси y;
     m - порядковый номер точки деления по оси z;
      - величина интервала между точками по оси t;
      - величина интервала между точками по оси x;
      - величина интервала между точками по оси y;
      - величина интервала между точками по оси z;
      - значение функции u, соответствующее точкам ;
      - значение функции f, соответствующее точкам .
Введём нумерацию точек разностной сетки по каждой из осей следующим образом:
     по оси t - n = 0, 1, 2, ..., M;
     по оси x - j = 1, 2, 3, ..., Nx;
     по оси y - k = 1, 2, 3, ..., Ny;
     по оси z - m = 1, 2, 3, ..., Nz.
Тогда значения переменных t, x, y и z в точках разностной сетки будут определяться согласно следующему правилу: