Решение дифференциальных уравнений параболического типа, содержащих производную по координате первого порядка.
       3. Неявная разностная схема.

     3.2. Метод решения.

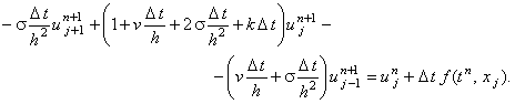
     Разностный шаблон (см. рисунок), характеризующий неявную разностную схему (6.5), свидетельствует о том, что она содержит три неизвестные величины - значения функции u на (n + 1)-ом шаге по времени. Следовательно, для решения данной разностной схемы необходимо использовать метод прогонки.
     Приведём разностную схему (6.5) к виду (4.10), удобному для использования метода прогонки:
 
Следовательно, коэффициенты, соответствующие уравнению (4.10), имеют вид:
 
Легко видеть, что для разностной схемы (6.5) достаточное условие сходимости прогонки (4.16) выполняется:
 
Алгоритм решения, а также методики определения прогоночных коэффициентов и решения на правой границе аналогичны описанным ранее.