| 
 
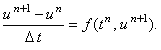
     Запишем для уравнения (12.1) неявную разностную схему:
 |   | 
  | 
(12.4) |   
Метод решения обыкновенных дифференциальных уравнений первого порядка с использованием неявной 
разностной схемы (12.4) называется неявным методом Эйлера.
      Также как и явная разностная схема (12.2), неявная разностная схема (12.4) 
имеет первый порядок аппроксимации по времени. Однако рекуррентное соотношение для её решения в общем виде не может быть 
получено (отметим, что оно вообще может быть получено не всегда).
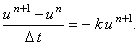
       Для анализа устойчивости неявного метода Эйлера рассмотрим неявную разностную схему, 
аппроксимирующую уравнение (12.3):
Проведём исследование устойчивости данной схемы с помощью спектрального метода:
Упрощаем полученное выражение, деля левую и правую его части на  , 
и выражаем  :
Видно, что собственные числа оператора перехода удовлетворяют необходимому условию 
устойчивости разностных схем (3.8) при любом значении  ; следовательно, неявная разностная схема, 
аппроксимирующая уравнение (12.3), является абсолютно устойчивой.
       Таким образом, неявный метод Эйлера является абсолютно устойчивым; 
однако он, также как и явный метод Эйлера, относится к методам с первым порядком точности.
 |