| 
     Запишем для уравнения (10.4) разностную схему Кранка-Николсона 
(соблюдая правило выбора конечной разности для аппроксимации первой производной по координате):
 Как и неявная разностная схема (10.9), разностная схема Кранка-Николсона (10.10) является 
абсолютно устойчивой, что обеспечивает возможность произвольного выбора значения шага итерации. 
Однако разностная схема Кранка-Николсона (10.10) имеет более высокий (второй) порядок 
аппроксимации по времени:
Данная особенность разностной схемы Кранка-Николсона (10.10) позволяет использовать 
при её решении более грубый шаг итерации, чем при решении неявной разностной схемы (10.9), 
для получения результатов с такой же точностью; а это в свою очередь способствует ускорению 
сходимости итерационного процесса и уменьшению количества итераций:|  |  | (10.10) | 
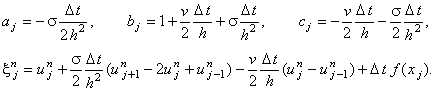
 В разделе 6.4 было показано, что разностные схемы типа (10.10) решаются 
с помощью метода прогонки. Коэффициенты, соответствующие уравнению (4.10), для разностной схемы (10.10) 
имеют вид:
Легко видеть, что достаточное условие сходимости прогонки (4.16) выполняется:
Алгоритм решения, а также методики определения прогоночных коэффициентов и решения на правой границе 
аналогичны описанным ранее.
 Также как и в случае метода простой итерации, в качестве нулевой итерации 
(начального условия, необходимого для решения в связи с введением фиктивной производной по времени) 
обычно задают свободный член:
Расчёт итераций продолжается до тех пор, пока итерационный процесс не сойдётся, 
т.е. пока не будет выполняться условие (10.5), в разностном представлении соответствующее неравенству:
Итерационным выражением является прогоночное соотношение (4.11), имеющее такой же вид, как и в общем случае.
 |