|
При описании методов решения дифференциальных уравнений
параболического типа, не содержащих производную по координате первого порядка,
рассматривалась разностная схема Кранка-Николсона, обладающая абсолютной устойчивостью и
вторым порядком аппроксимации по времени (в отличие от явной и неявной разностных схем).
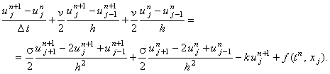
Запишем разностную схему Кранка-Николсона для уравнения (6.1):
| |
 |
(6.7) |
Обратим внимание, что для сохранения второго порядка аппроксимации по времени производную по
координате первого порядка необходимо представить также, как и производную по координате второго
порядка, т.е. в виде суммы двух слагаемых, одно из которых аппроксимируется на (n + 1)-ом
шаге по времени, а другое - на n-ом шаге по времени.
Разностная схема (6.7) является абсолютно устойчивой (доказательство в силу сложности не приводится) и имеет порядок аппроксимации:
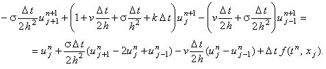
Разностный шаблон (см. рисунок), характеризующий разностную схему (6.7),
свидетельствует о том, что она содержит три неизвестные величины - значения функции u
на (n + 1)-ом шаге по времени. Следовательно, для её решения необходимо использовать
метод прогонки.
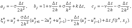
Приведём разностную схему (6.7) к виду (4.10), удобному для использования метода прогонки:
Следовательно, коэффициенты, соответствующие уравнению (4.10), имеют вид:
Легко видеть, что для разностной схемы (6.7) достаточное условие сходимости прогонки (4.16) выполняется:
Алгоритм решения, а также методики определения прогоночных коэффициентов
и решения на правой границе аналогичны описанным ранее.
|