Решение дифференциальных уравнений параболического типа, содержащих производную по координате первого порядка.
       6. Сравнительная характеристика изученных разностных схем.

     В заключение приведём сравнительную характеристику разностных схем, аппроксимирующих одномерное дифференциальное уравнение параболического типа, содержащее производную по координате первого порядка:
 

     1. Явная разностная схема
 

  • Имеет порядок аппроксимации
  • Условно устойчива
  • Решается с помощью рекуррентного соотношения (6.4).

         2. Неявная разностная схема
     
  • Имеет порядок аппроксимации
  • Абсолютно устойчива.
  • Решается методом прогонки.

         3. Разностная схема Кранка-Николсона
     
  • Имеет порядок аппроксимации
  • Абсолютно устойчива.
  • Решается методом прогонки.

         Напомним, что в случае v < 0 для аппроксимации производной по координате первого порядка следует использовать правую конечную разность.

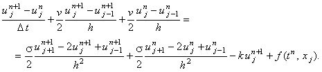
         Вне зависимости от знака параметра v (или в случае, когда v является знакопеременной величиной) может быть также использована неявная разностная схема с аппроксимацией производной по координате первого порядка центральной конечной разностью
     

  • Имеет порядок аппроксимации
  • Абсолютно устойчива.
  • Решается методом прогонки, сходящейся при выполнении одного из условий: (6.9) или (6.10).